Audited Accounts 2025
Financial Statement for the period from 25 February 2025 to 31 December 2025
Web version — corrections applied
The downloadable PDF contains two typographical errors in the accounting period headers: form should read from in the accounting period dates, and bath should read baht in the currency label. The corrected wording is shown in the tables below. The underlying figures are unchanged.
Good Start Foundation
- Registration No.
- 4/2025
- Authority
- Registrar of Prachuap Khiri Khan Provincial Foundation
- Licensed from
- 25 February 2025
- Currency
- Thai Baht (THB)
The Sun Auditing Co., Ltd.
Mr. Pithakorn Seedasomboon, CPA (Thailand) · Registration No. 14423
1/15 Soi Anamaingamjareon 11, Rama 2nd Rd., Takham, Bang-khuntien, Bangkok, Thailand 10150
Independent Auditor's Opinion
In the opinion of The Sun Auditing Co., Ltd., the accompanying financial statements present fairly, in all material respects, the financial position of Good Start Foundation as at 31 December 2025, and its financial performance for the period from 25 February 2025 to 31 December 2025, in accordance with Thai Financial Reporting Standards for Non-Publicly Accountable Entities.
The audit was conducted in accordance with Thai Standards on Auditing. The full opinion, basis for opinion and auditor's responsibilities are set out in the downloadable PDF above.
Statement of Financial Position
As at 31 December 2025 · Unit: Baht (THB)
| Assets | 2025 (THB) |
|---|---|
| Current assets | |
| Cash and cash equivalents | 1,590,498.89 |
| Total current assets | 1,590,498.89 |
| Non-current assets | |
| Fixed asset (Net) | 19,766.25 |
| Total non-current assets | 19,766.25 |
| TOTAL ASSETS | 1,610,265.14 |
| Liabilities and Fund Balance | 2025 (THB) |
| Current liabilities | |
| Other current payables | 57,778.52 |
| Total current liabilities | 57,778.52 |
| Total liabilities | 57,778.52 |
| Fund Balance | |
| Initial Funding | 1,000,000.00 |
| Accumulated Surplus | 552,486.62 |
| Total Fund Balance | 1,552,486.62 |
| TOTAL LIABILITIES AND FUND BALANCE | 1,610,265.14 |
Notes to the financial statements form an integral part of these statements.
Statement of Income and Expenditure
For the period from 25 February 2025 to 31 December 2025 · Unit: Baht (THB)
| Income | |
| Donation | 1,807,166.22 |
| Interest income | 3,236.65 |
| Total Income | 1,810,402.87 |
| Expenses | |
| Expenditure to support teachers' salaries | 591,546.42 |
| Expenditure to support kindergarten education | 192,145.00 |
| Expenditure on scholarship for education | 166,500.00 |
| Administrative expenditure | 307,401.16 |
| Income Tax | 323.67 |
| Total Expenses | 1,257,916.25 |
| Surplus for the period | 552,486.62 |
Notes to the financial statements form an integral part of these statements.
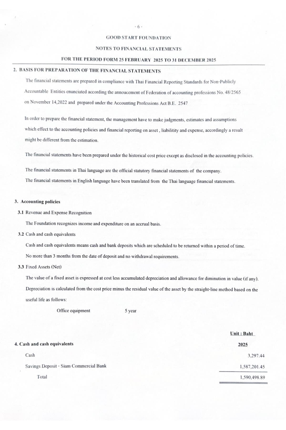
Notes to the Financial Statements
Cash and cash equivalents
| Cash | 3,297.44 |
| Savings deposit — Siam Commercial Bank | 1,587,201.45 |
| Total | 1,590,498.89 |
Other current payables
| Accrued service fee | 30,000.00 |
| Accrued audit fees | 25,000.00 |
| Accrued withholding tax | 278.52 |
| Accrued social security | 2,500.00 |
| Total | 57,778.52 |
Expenditure to support kindergarten education
| Kindergarten enrollment programme | 90,300.00 |
| Kindergarten learning materials | 40,450.00 |
| Kindergarten support | 61,395.00 |
| Total | 192,145.00 |
Expenditure on scholarship for education
| Scholarships | 121,500.00 |
| Other educational expenses | 45,000.00 |
| Total | 166,500.00 |
Administrative expenditure
| Salary | 60,000.00 |
| Employee wages | 46,391.76 |
| Service charge | 42,371.14 |
| Legal fee | 45,448.64 |
| Social security expenses | 7,500.00 |
| Accounting fees | 36,494.87 |
| Audit fee | 25,000.00 |
| Bank fees | 3,019.00 |
| Rental | 31,579.00 |
| Depreciation — office equipment | 1,133.75 |
| Miscellaneous expenses | 963.00 |
| Disallowed expense | 7,500.00 |
| Total | 307,401.16 |









